贺不贪2020-04-08原创一、总论:数列求和7种方法:
利用等差、等比数列求和公式
错位相减法求和
反序相加法求和
分组相加法求和
裂项消去法求和
分段求和法(合并法求和)
利用数列通项法求和
二、等差数列求和的方法是逆序相加法,等比数列的求和方法是错位相减法,
三、逆序相加法、错位相减法是数列求和的二个基本方法。
数列是高中代数的重要内容,又是学习高等数学的基础. 在高考和各种数学竞赛中都占有重要的地位. 数列求和是数列的重要内容之一,除了等差数列和等比数列有求和公式外,大部分数列的求和都需要一定的技巧. 下面,就几个历届高考数学和数学竞赛试题来谈谈数列求和的基本方法和技巧.
一、利用常用求和公式求和
利用下列常用求和公式求和是数列求和的最基本最重要的方法.


二、错位相减法求和
这种方法是在推导等比数列的前n项和公式时所用的方法,这种方法主要用于求数列{an· bn}的前n项和,其中{ an }、{ bn }分别是等差数列和等比数列.


三、反序相加法求和
这是推导等差数列的前n项和公式时所用的方法,就是将一个数列倒过来排列(反序),再把它与原数列相加,就可以得到n个




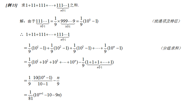
四、分组法求和
有一类数列,既不是等差数列,也不是等比数列,若将这类数列适当拆开,可分为几个等差、等比或常见的数列,然后分别求和,再将其合并即可.


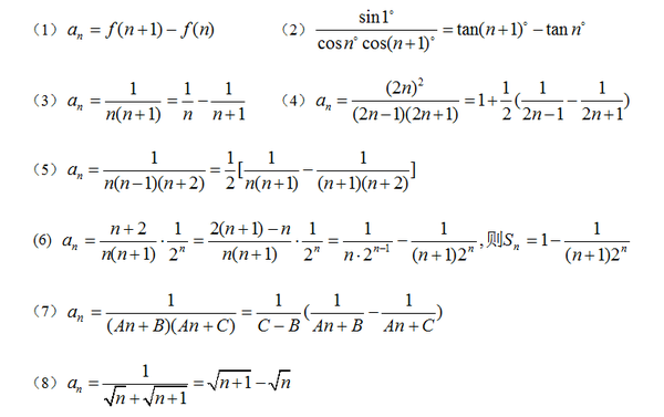
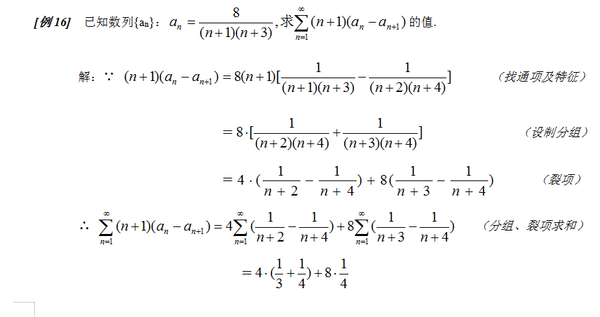
五、裂项法求和
这是分解与组合思想在数列求和中的具体应用. 裂项法的实质是将数列中的每项(通项)分解,然后重新组合,使之能消去一些项,最终达到求和的目的. 通项分解(裂项)如:




六、分段求和法(合并法求和)
针对一些特殊的数列,将某些项合并在一起就具有某种特殊的性质,因此,在求数列的和时,可将这些项放在一起先求和,然后再求Sn.




七、利用数列的通项求和
先根据数列的结构及特征进行分析,找出数列的通项及其特征,然后再利用数列的通项揭示的规律来求数列的前n项和,是一个重要的方法.




