查询限制在15个汉字以内
早安励志语录正能量
自我鉴定
论文格式
防溺水安全知识
入党申请书
思想汇报
疫情作文
搜索
首页
教育类
模板类
汇报类
实用类
其他
文库
>
教育类
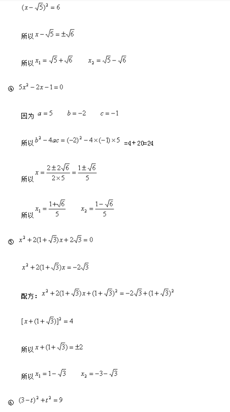
一元二次方程求根公式
朋于晏
2020-02-26
原创
免费下载
展开全部
下载文档到电脑,使用更方便
免费下载
广告
您可能感兴趣的内容
为您推荐
相关文章
更多>>
一元二次方程求根公式
上传时间:2020-05-13
今日热点
猜你想看
您可能感兴趣的内容
为您推荐
更多>>
最新发布文章
部编版二年级下册语文期中测试卷(含答案)
幼儿园小班世界地球日教案.doc
七年级下册政治期中考试试题及答案
人教版七年级下册生物期中试卷(含答案)
人教版三年级下册数学期中测试卷
猜你想搜